Mat Su Landfill Rates

Facebook

Facebook

Borough Hikes Landfill Rates Local News Stories Frontiersman Com

Borough Hikes Landfill Rates Local News Stories Frontiersman Com

Https Www Matsugov Us Docs Meetings 18925 Clarks Wsab Presentation And Per Pdf

Https Www Matsugov Us Docs Meetings 18925 Clarks Wsab Presentation And Per Pdf

Matanuska Susitna Borough Tex Al Rd Connector

Matanuska Susitna Borough Tex Al Rd Connector

Https Www Muni Org Departments Assembly Documents Sws 20white 20paper 20report Pdf

Https Www Muni Org Departments Assembly Documents Sws 20white 20paper 20report Pdf

Converted File

Converted File

Converted File

You can anticipate that rates will go up each year to remain in line with the.

Mat su landfill rates.

The matanuska susitna borough central landfill located at 1201 n. The central landfill and 13 transfer stations make up the solid waste division of the matanuska susitna borough. 33 gallon bag or can. You can anticipate that rates will go up each year to remain in line with the.

Mat su convention and visitors bureau. 15 00 for all loads that exceed the two 33 gallon bag limit and are less than 200 pounds. United way community resource guide. Two akosh representatives are on site.

The mat su borough notified akosh the alaska occupational safety and health section with the labor standards safety division. 3 00 each limit 2 per day. The division operates as an enterprise fund so no property tax revenue is used to provide waste. United way community resource guide.

Landfill and transfer stations closed friday 1 1 2021. 49th state street palmer and all borough transfer stations will. Amount in dollars mat anuska su sitna borough. Troopers are in the process of notifying the person s family.

The following rates will increase on july 1st 2018 to support new infrastructure requirements and increased costs. The landfill is located at 1201 n 49 th state st. Fy 21 schedule of rates and fees. Msw residential from outside the mat su borough 278 00 ton.

The assembly also changed the per bag rate from 3 to 2 adjusted the per ton household rate from 125 to 120 and the per ton construction and auto rate from 100 to 95. By resolution 85 35 which was signed on march 19 1985 the 620 acres commonly referred to as the borough central landfill was officially set aside by the borough assembly for future landfill use. Solid waste division fees july 1 2020 changes the matanuska susitna borough public works solid waste division is operated as a separate business from the borough known as an enterprise fund. Mat su borough school district.

The central landfill is the only class i landfill operating in the borough. Central landfill disposal rates rates effective 7 1 2020. The central landfill began operations at its current site in 1980 with a small unlined disposal area. Mat anuska su sitna borough.

Permitting platting. Deficit prompts landfill rate hikes. Landfill deficit causes landfill fee hikes. The following rates will increase as of july 1st 2017 to support new infrastructure requirements and increased costs.

Msw residential from inside the mat su borough 139 00 ton. An investigation is ongoing.

Mat Su Garbage Fees Shift Rural Costs To Curbside Customers Anchorage Daily News

Mat Su Garbage Fees Shift Rural Costs To Curbside Customers Anchorage Daily News

Matanuska Susitna Borough Assembly Resolutions

Matanuska Susitna Borough Assembly Resolutions

Https Journals Sagepub Com Doi Pdf 10 1177 0734242x17707573

Https Journals Sagepub Com Doi Pdf 10 1177 0734242x17707573

Pdf Estimates Of Solid Waste Disposal Rates And Reduction Targets For Landfill Gas Emissions

Pdf Estimates Of Solid Waste Disposal Rates And Reduction Targets For Landfill Gas Emissions

Plastic Pollution Our World In Data Plastic Pollution Pollution Use Of Plastic

Plastic Pollution Our World In Data Plastic Pollution Pollution Use Of Plastic

Pdf Development Of Solid Waste Management Governance In Latvia

Pdf Development Of Solid Waste Management Governance In Latvia

Swd 2018 0017 Fin Eng Xhtml 1 En Autre Document Travail Service Part1 V6 Docx

Swd 2018 0017 Fin Eng Xhtml 1 En Autre Document Travail Service Part1 V6 Docx

Https Www Matsugov Us Docs Meetings 15391 062116 Clerks Assembly Packet Pdf

Https Www Matsugov Us Docs Meetings 15391 062116 Clerks Assembly Packet Pdf

Ekw5ytejqznevm

Ekw5ytejqznevm

Matanuska Susitna Borough Rss Feeds

Matanuska Susitna Borough Rss Feeds

Matanuska Susitna Borough Contracts Opportunities

Matanuska Susitna Borough Contracts Opportunities

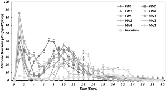
Analysis Of The Feasibility Of Fruit And Vegetable Wastes For Methane Yield Using Different Substrate To Inoculum Ratios At Hyderabad Sindh Pakistan Springerlink

Analysis Of The Feasibility Of Fruit And Vegetable Wastes For Methane Yield Using Different Substrate To Inoculum Ratios At Hyderabad Sindh Pakistan Springerlink

Pdf Managing Odour Risk At Landfill Sites Main Report

Pdf Managing Odour Risk At Landfill Sites Main Report

Pdf Estimation Of Municipal Solid Waste Generation And Landfill Area In Asian Developing Countries

Pdf Estimation Of Municipal Solid Waste Generation And Landfill Area In Asian Developing Countries

Pdf Environmental Impacts And Costs Of Solid Waste A Comparison Of Landfill And Incineration

Pdf Environmental Impacts And Costs Of Solid Waste A Comparison Of Landfill And Incineration

Pdf A Fuzzy Logic Based Approach For Modelling Uncertainty In Open Geospatial Data On Landfill Suitability Analysis

Pdf A Fuzzy Logic Based Approach For Modelling Uncertainty In Open Geospatial Data On Landfill Suitability Analysis

8zdbdfhgdrrpxm

8zdbdfhgdrrpxm

Pdf Pilot Based Assessment Of The Economics Of Recycling Construction Demolition Waste

Pdf Pilot Based Assessment Of The Economics Of Recycling Construction Demolition Waste

Pdf Compressive Strength And Initial Water Absorption Rate For Cement Brick Containing High Density Polyethylene Hdpe As A Substitutional Material For Sand

Pdf Compressive Strength And Initial Water Absorption Rate For Cement Brick Containing High Density Polyethylene Hdpe As A Substitutional Material For Sand

Source : pinterest.com